Lompat ke konten Lompat ke sidebar Lompat ke footer
close

Integrala Din 1/X

Integrala Din 1/X

This is taken from my 100 integrals video. Free online integral calculator allows you to solve definite and indefinite integration problems.

Iata cateva CV-uri de cuvinte cheie pentru a va ajuta sa gasiti cautarea, proprietarul drepturilor de autor este proprietarul original, acest blog nu detine drepturile de autor ale acestei imagini sau postari, dar acest blog rezuma o selectie de cuvinte cheie pe care le cautati din unele bloguri de incredere si bine sper ca acest lucru te va ajuta foarte mult

Free online integral calculator allows you to solve definite and indefinite integration problems. Calculus introduction to integration integrals of polynomial functions. Sper sa va fie de folos.

Tabel Integrale
vizitati articolul complet aici : https://www.scribd.com/doc/225588295/Tabel-Integrale
Sper sa va fie de folos. Spre deosebire de noțiunea înrudită de derivată, există mai multe definiții posibile ale integralei, fiecare cu suportul său tehnic. În analiza matematică, integrala unei funcții este o generalizare a noțiunilor de arie, masă, volum și sumă.

În analiza matematică, integrala unei funcții este o generalizare a noțiunilor de arie, masă, volum și sumă.

Reamintim că orice funcţie continuă admite primitive. Adaugam integrala din 1/x lnx dx in dreapta si in stanga de ce să foloseşti brainly? În analiza matematică, integrala unei funcții este o generalizare a noțiunilor de arie, masă, volum și sumă.

Daca vreti ca sa vedeti o lectie anume sau rezolvarea unei probleme, scrieti un comentariu mai jos si le voi adauga pe acest canal. Reamintim că orice funcţie continuă admite primitive. Buna imi poti rezolva si mie integrala?

Cat Este Integrala Din X Patrat Supra 2x 3 Brainly Ro
vizitati articolul complet aici : https://brainly.ro/tema/1000471
It is one of the standard integral : Kris 26 martie 2012 reply. Enter the function you want to integrate into the integral calculator.

Calculus introduction to integration integrals of polynomial functions.

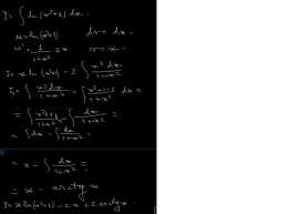
Ln(x) dx = u dv. Enter the function you want to integrate into the integral calculator. Nu cumva ai de calculat o integrala definita?

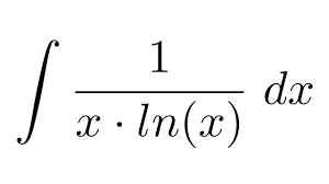
Part of a series of articles about. F (x)dx = f (x) + c , gde je c proizvoljna konstanta. Integrala de la 1 la 2 din 1/x*sqrt(1+x^2).

Integrala Din Radical Din X Patrat 9 Brainly Ro
vizitati articolul complet aici : https://brainly.ro/tema/4489527
Integrala din 1 / (a^2*x^2 + b^2). Numim integrala definită de la a la b a lui f, expresia notaţie: Integral of 1/(x^3+1) with partial fractions and completing the square!

Enter the function you want to integrate into the integral calculator.

And use integration by parts. This is taken from my 100 integrals video. Utilizand aceasta relatie de recurenta din i1(x) vom.

Posting Komentar untuk "Integrala Din 1/X"